合作客戶/
拜耳公司 |
同濟大學 |
聯合大學 |
美國保潔 |
美國強生 |
瑞士羅氏 |
相關新聞Info
-
> BOPP薄膜制備,印刷表層的表面張力多少合適
> “天宮課堂”第三課的具體課程有哪些?
> 一體化生物復合乳液研制及在碳酸鹽巖體積加砂壓裂中的應用(一)
> LB法組裝Silicalite-1型分子篩晶粒層,制備出高度b-軸取向的ZSM-5分子篩膜
> 表面張力在封閉腔體自然對流換熱中的角色深度分析
> KibronLB膜分析儀研究自組裝肽在制造定制螺旋狀納米結構中的應用
> 內壓力是什么意思?液體表面張力與內壓力的區別與定量關系
> 礦井瓦斯防治:表面活性劑溶液表面張力、泡沫特性及對甲烷緩釋效應(三)
> 便攜式自動表面張力儀主要產品特征
> DEAE-瓊脂糖LB膜的制備方法、最佳成膜濃度及表面電勢測定
推薦新聞Info
-
> Wilhelmy平板法測液體表面張力原理、國產鉑金板代替進口鉑金板的可行性
> 泡沫酸液表面張力調控與無機礦物溶蝕解堵特性研究(四)
> 泡沫酸液表面張力調控與無機礦物溶蝕解堵特性研究(三)
> 泡沫酸液表面張力調控與無機礦物溶蝕解堵特性研究(二)
> 泡沫酸液表面張力調控與無機礦物溶蝕解堵特性研究(一)
> 烷基化碳量子點表面活性劑合成改性、表面張力、穩泡及乳化性能(三)
> 烷基化碳量子點表面活性劑合成改性、表面張力、穩泡及乳化性能(二)
> 烷基化碳量子點表面活性劑合成改性、表面張力、穩泡及乳化性能(一)
> pH調控豬血漿蛋白納米顆粒的界面吸附行為與乳液穩定機制(五)
> pH調控豬血漿蛋白納米顆粒的界面吸附行為與乳液穩定機制(四)
高溫多元合金表面張力的計算方法及裝置、設備
來源:長沙理工大學 瀏覽 1073 次 發布時間:2024-11-20
表面張力是多元高溫合金的重要物理化學特性,在表面化學、生物醫藥、高溫陶瓷等領域的研究和應用中具有重要影響。例如,在金屬冶煉中,通過計算多元高溫合金的表面張力,精準調控合金熔體在基底材料上的涂覆和滲透深度及速率,制備以多元合金為基底的耐高溫、抗氧化的多功能材料和超高溫陶瓷復合材料;高溫多元合金的提取與精煉、涂覆和滲透、表面活性劑的應用、焊接和鑄造、金屬成形、納米材料制備等領域也與表面張力密切相關。高溫熔體作為可再生能源體系的重要傳熱介質,因此快速、精準地測量高溫熔體的表面張力對工程應用具有重要意義。
目前,基于熱力學計算表面張力模型主要有:對稱幾何模型(Muggianu模型、Kohler模型)、非對稱模型(Toop模型、Hillert模型、Chou模型、Guggenheim模型,Butler模型Tamura模型)。這些計算模型方法存在如下缺陷:預測多元合金表面張力時,與實驗值之間誤差大于10%;計算精度低,擬合參數與熱力學性質無關,物理意義不明確,擬合參數在多元合金體系過多,計算程序復雜,實際運算效率較低。特別是對高熔點的多元合金,傳統的模型無法精準預測多元合金的表面張力。
因此,現有技術中存在對多元合金表面張力計算方法改進的需求。
下面提出一種高溫多元合金表面張力的計算方法、裝置、設備及可讀介質,通過高通量獲取熱力學,以解決現有技術中存在的無法精準計算多元合金的表面張力、擬合參數無物理意義以及參數過多等技術問題。
一種高溫多元合金表面張力的計算方法,包括以下步驟:
選取不同的合金體系,利用熱力學性質,通過高通量迭代獲取并導出任意組分、溫度下的過剩吉布斯自由能的結果文件;
基于Butler模型對表相的偏摩爾過剩吉布斯自由能進行修正以生成二元合金體系的表面張力模型;
檢索現有數據庫獲取合金實驗數據值,利用所提出的基于熱力學性質計算的表面張力模型,并結合合金實驗數據值進行擬合計算最優擬合參數,基于表面張力模型和最優擬合參數計算高階多元合金的表面張力。
在一些實施方式中,通過高通量迭代獲取并導出任意組分、溫度下的過剩吉布斯自由能的結果文件包括:
選取不同的合金體系,利用基于Calphad的相圖熱力學和擴散動力學計算程序Thermo-Calc,運用語言編程讀取TDB文件,高通量迭代計算并導出任意組分、溫度下的過剩吉布斯自由能的結果文件。
在一些實施方式中,基于Butler模型對偏摩爾過剩吉布斯自由能進行修正以生成二元合金體系的表面張力模型包括:
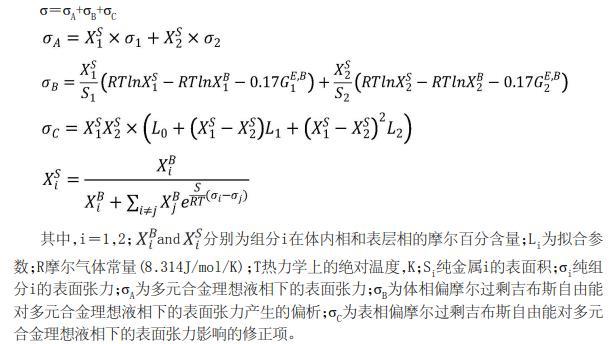
基于Butler模型對偏摩爾過剩吉布斯自由能進行修正,計算多元合金理想液相下的表面張力、體相偏摩爾過剩吉布斯自由能對多元合金理想液相下的表面張力產生的偏析以及表相偏摩爾過剩吉布斯自由能對多元合金理想液相下的表面張力影響的修正項,以生成二元合金表面張力模型。
在一些實施方式中,二元合金表面張力模型為:
在一些實施方式中,檢索現有數據庫獲取合金實驗數據值包括:
檢索Thermo-Calc數據庫和實驗數據文獻獲得合金表面張力的實驗值。
圖1為二元合金的表面張力計算與現有實驗值的對比圖;
圖2為Ti-Zr-Hf三元合金表面張力的預測圖;
在一些實施方式中,利用所提出的基于熱力學性質計算表面張力模型并結合合金實驗數據值進行擬合計算最優擬合參數包括:
利用語言編程讀取TDB文件,調用多元體系的結合合金實驗數據值和基于熱力學性質的表面張力模型進行實驗值擬合,獲得最優擬合參數Lij和Lijk。
在一些實施方式中,基于表面張力模型和最優擬合參數計算高階多元合金的表面張力包括:
基于表面張力模型和最優擬合參數Lij和Lijk計算高階多元合金的表面張力σ,計算公式如下:
其中,i=1,2,3,……,n;and分別為組分i在體內相和表層相的摩爾百分含量;R摩爾氣體常量(8.314J/mol/K);T熱力學上的絕對溫度,K;Si純金屬i的表面積;σi純組分i的表面張力;σA為多元合金理想液相下的表面張力;σB為體相偏摩爾過剩吉布斯自由能對多元合金理想液相下的表面張力產生的偏析;σC為表相偏摩爾過剩吉布斯自由能對多元合金理想液相下的表面張力影響的修正項。
附:一種高溫多元合金表面張力的計算裝置,包括:
高通量計算模塊,配置用于選取不同的合金體系,利用熱力學性質,通過高通量迭代獲取并導出任意組分、溫度下的過剩吉布斯自由能的結果文件;
第一修正模塊,配置用于基于Butler模型對表相的偏摩爾過剩吉布斯自由能進行修正以生成二元合金體系的表面張力模型;
第二修正模塊,配置用于檢索現有數據庫獲取合金實驗數據值,利用所提出的基于熱力學性質計算的表面張力模型,并結合合金實驗數據值進行擬合計算最優擬合參數,基于表面張力模型和最優擬合參數計算高階多元合金的表面張力。
此方法利用現有的熱力學數據,基于新模型,從而精準預測多元合金的表面張力,對精準控制反應滲透深度及速率制備超高溫陶瓷具有重要意義,能夠計算元素電子差異大的多元合金且熔點高于2000攝氏度的表面張力;預測精度高;與現有實驗數據相比,相對誤差低于5%;擬合參數少,物理意義明確,計算方法簡單,解決了算法復雜的困難;能夠預測多元合金指定成分、指定溫度下的表面張力數據,實現智能化高通量計算。





