合作客戶/
拜耳公司 |
同濟大學 |
聯合大學 |
美國保潔 |
美國強生 |
瑞士羅氏 |
相關新聞Info
-
> 入網變壓器油界面張力不合格率檢測、原因分析及處理
> 新型POSS基雜化泡沫穩定劑表面張力測定及對泡沫壓縮性能的影響(一)
> 界面張力主導:殘余氣飽和度的深部咸水層CO2封存潛力評估(二)
> St與MMA在無皂乳液聚合過程中的動態表面張力變化——摘要、實驗部分
> LB膜分析儀證明SP-B在肺表面活性物質三維結構形成中的關鍵作用
> Marangoni效應:智能液體會走迷宮
> 熱力學模型計算MgO-B2O3-SiO2-CaOAl2O3富硼渣表面張力(一)
> 污水處理廠安全操作規程
> 無機鹽濃度對HPAM不同復配體系降低界面張力能力的影響(一)
> Delta-8 動物胃腸道體內中藥物的溶解度的測定——結論、工具書類!
推薦新聞Info
-
> 泡沫酸液表面張力調控與無機礦物溶蝕解堵特性研究(三)
> 泡沫酸液表面張力調控與無機礦物溶蝕解堵特性研究(二)
> 泡沫酸液表面張力調控與無機礦物溶蝕解堵特性研究(一)
> 烷基化碳量子點表面活性劑合成改性、表面張力、穩泡及乳化性能(三)
> 烷基化碳量子點表面活性劑合成改性、表面張力、穩泡及乳化性能(二)
> 烷基化碳量子點表面活性劑合成改性、表面張力、穩泡及乳化性能(一)
> pH調控豬血漿蛋白納米顆粒的界面吸附行為與乳液穩定機制(五)
> pH調控豬血漿蛋白納米顆粒的界面吸附行為與乳液穩定機制(四)
> pH調控下豬血漿蛋白熱誘導納米顆粒的制備、表征及其穩定Pickering乳液性能(三)
> pH調控下豬血漿蛋白熱誘導納米顆粒的制備、表征及其穩定Pickering乳液性能(二)
座滴法測量玻璃熔體表面張力準確性及影響因素
來源:玻璃 瀏覽 1213 次 發布時間:2025-03-13
2影響準確性因素分析
2.1玻璃試樣本身的影響
玻璃試樣要保證化學組成的均勻性,且內部不能包含缺陷(氣泡、結石和條紋等)。如有氣泡會導致玻璃熔體體積失真,如圖3所示。氣泡中的氣體受熱會進一步膨脹,使玻璃液滴體積增大,導致玻璃液滴在測試溫度下的密度偏低,最終影響玻璃熔體表面張力的測試結果。玻璃條紋和結石等缺陷也是玻璃成分不均的表現,在受熱條件下影響玻璃熔體液滴形態,導致無法獲得中心旋轉軸對稱的玻璃液滴,因此應選擇無內在質量缺陷的玻璃。
圖3含有氣泡的玻璃液滴
玻璃試樣的尺寸大小及外觀形貌也極為重要。玻璃試樣應為0.2~0.4 g的玻璃顆粒/片,不可為玻璃絲或玻璃屑,應獲取相對新鮮的表面,表面不能有沾污。獲取玻璃試樣應該選擇大塊玻璃進行錘擊破碎,使之破碎成多棱角玻璃顆粒,玻璃片應通過劃痕方式掰斷,不可通過研磨的方式來獲取玻璃顆粒,因為在研磨過程中,玻璃顆粒表面會產生大量劃痕和表面沾污,這些劃痕及粘附在玻璃試樣表面的雜質均會影響玻璃熔體表面張力的準確測量。
2.2承托板材質和表面質量的影響
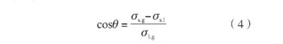
承托板在測試過程中與玻璃熔體產生直接接觸,承托板材質首先要滿足測試溫度的要求,符合玻璃熔體測試溫度要求并易獲得的材質有鉑銠合金、石英、剛玉和石墨。材料表面與玻璃熔體產生潤濕與非潤濕問題,潤濕能力由相鄰兩相的自由表面能決定,用表面張力的大小來表示[9]。當固體、液體和氣體三者之間相互作用力達到平衡時,就必須服從式(4):
式中:ss.g——固-氣界面上的表面張力;
ss.l——固-液界面上的表面張力;
sl.g——液-氣界面上的表面張力;
q——潤濕角(接觸角)。
圖4為玻璃潤濕示意圖。如果液體(熔體)和固體間的表面張力很大時,趨向于收縮成球狀以減少兩相界面,潤濕角q也較大,q>90°,稱為液相不潤濕固相;q<90°,稱為液相潤濕固相。
圖4玻璃潤濕示意圖
由于潤濕問題首先可排除鉑銠合金材料,在實驗室熔制玻璃常用鉑銠合金坩堝,鉑銠合金與玻璃熔體呈潤濕狀態,如圖5所示,玻璃熔體呈扁平狀不能成球。
圖5鉑銠合金與玻璃熔體潤濕示意圖
在相同溫度條件下探究石英材質、剛玉材質和石墨材質對玻璃熔體潤濕的影響,結果如圖6所示。玻璃熔體與石英薄片和剛玉薄片潤濕鋪展,而石墨薄片不潤濕鋪展,故石墨可作為測量玻璃熔體表面張力的承托板材料[11]。此外石墨材料也要有足夠的光滑度,表面質量差的石墨承托板會對玻璃熔體成球形狀產生影響。就工業生產的高純石墨材料產品而言,要選取符合GB/T 30071—2013要求的表面平整度小于0.04 mm,粗糙度小于0.02 mm的高純石墨材料[12]。
圖6不同材質承托板對玻璃熔體潤濕的影響
石墨在高溫下易氧化,如圖7所示,氧化會破壞高純石墨承托板的表面平整度,影響玻璃熔體成球形狀,進而影響玻璃液滴體積測量,最終導致表面張力測量誤差。為了避免高純石墨承托板氧化以及玻璃試樣在高溫熔融狀態下氧化的問題,須在試樣放進加熱爐前通入保護氣,因為非極性分子對玻璃熔體表面張力的影響最小,非極性分子有氮氣、氦氣、氫氣等,而氮氣廉價且易得,選用氮氣作保護氣。考慮到爐管直徑與體積,轉子流量計設置為1~3 L/min,大致能夠滿足每分鐘3~10倍的氣體置換,使爐內形成正壓,氧氣不會滲入爐內,防止石墨承托板氧化,保護氣體充滿整個加熱爐的同時不會氣流過大,將試樣吹落。
圖7石墨承托板氧化示意圖
2.3裝置調節系統的影響
2.3.1承托板與相機水平線平行性的影響
承托板與相機水平線不平行,表現為測量的玻璃液滴高度與液滴實際高度有誤差,誤差較大時影響玻璃液滴體積的測量,導致計算的玻璃液滴密度偏差較大,進而直接影響表面張力的測量結果。
2.3.2相機軸線與剛玉托架軸線是否同心的影響
相機軸線相較剛玉托架的軸線向左右兩邊有偏移時,玻璃液滴的投影雖然仍在相機視野中心,但是實際上玻璃液滴并沒有在剛玉托架的中心位置。偏心距離小于2 mm時,相機視野中看不出有變化;偏心距離超過2 mm時,相機視野的輪廓發生扭曲,可以肉眼辨別出來。當偏心距離在2 mm以內時,測得的表面張力較真實值偏小,偏差范圍在1%以內。
2.3.3液滴投影是否位于相機視野中心的影響
相機軸線與剛玉托架的軸線基本同心,但是樣品在放置或者成球過程中位置不在承托板的中心位置,偏移位置的不同對測試結果影響也不同。當玻璃液滴左右偏移,偏移位置不大時,對測量結果影響較小;當液滴投影偏移到視野邊緣時,對測量結果影響較大,此時可以通過調節相機的左右位置,使液滴投影回到視野中心,測量結果會偏小;如果位置偏差過大,可以打開加熱爐爐膛,用鑷子調節承托板的位置,使玻璃液滴投影處于視野中心再測試(此過程注意防止燙傷)。當玻璃液滴位置向承托板前方偏移時,測量的玻璃液滴體積偏大,密度偏小,導致表面張力測量結果偏小,一般偏小1%以內。當玻璃液滴位置向承托板后方偏移時,測量液滴體積偏小,密度偏大,表面張力測量結果偏大,一般偏大1%以內。
3結論
為了保證玻璃熔體表面張力測試結果的準確性,需要滿足以下要求:
(1)玻璃試樣應為無內在質量缺陷(氣泡、結石和條紋等)、化學組成均勻、具有新鮮表面且無表面沾污的0.2~0.4 g玻璃片/顆粒,不可為玻璃絲/屑;
(2)承托板應選取符合GB/T 30071—2013要求的表面平整度小于0.04 mm,粗糙度小于0.02 mm的高純石墨材料,試驗時需通入高純氮氣作保護氣體;
(3)承托板應與相機水平線平行、相機軸線與剛玉托架軸線同心、液滴投影位于相機視野中心。





