合作客戶/
拜耳公司 |
同濟大學 |
聯合大學 |
美國保潔 |
美國強生 |
瑞士羅氏 |
相關新聞Info
推薦新聞Info
-
> 泡沫酸液表面張力調控與無機礦物溶蝕解堵特性研究(三)
> 泡沫酸液表面張力調控與無機礦物溶蝕解堵特性研究(二)
> 泡沫酸液表面張力調控與無機礦物溶蝕解堵特性研究(一)
> 烷基化碳量子點表面活性劑合成改性、表面張力、穩泡及乳化性能(三)
> 烷基化碳量子點表面活性劑合成改性、表面張力、穩泡及乳化性能(二)
> 烷基化碳量子點表面活性劑合成改性、表面張力、穩泡及乳化性能(一)
> pH調控豬血漿蛋白納米顆粒的界面吸附行為與乳液穩定機制(五)
> pH調控豬血漿蛋白納米顆粒的界面吸附行為與乳液穩定機制(四)
> pH調控下豬血漿蛋白熱誘導納米顆粒的制備、表征及其穩定Pickering乳液性能(三)
> pH調控下豬血漿蛋白熱誘導納米顆粒的制備、表征及其穩定Pickering乳液性能(二)
高速運動的微小水滴撞擊深水液池產生的空腔運動及形成機理(二)
來源:物理學報 瀏覽 900 次 發布時間:2025-05-19
2計算區域及數值方法
2.1控制方程
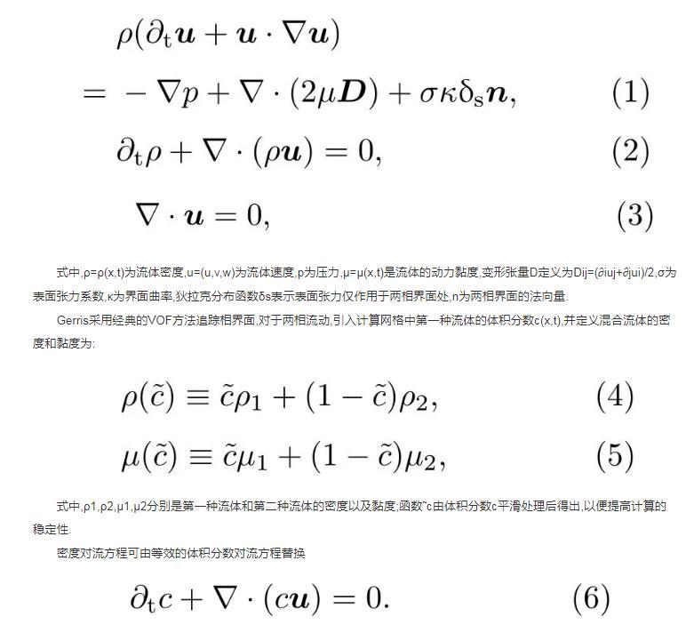
液滴撞擊液池的運動過程可以使用帶有表面張力項的變密度、不可壓縮Navier-Stocks方程來描述,具體控制方程如下:
式中,ρ=ρ(x,t)為流體密度,u=(u,v,w)為流體速度,p為壓力,μ=μ(x,t)是流體的動力黏度,變形張量D定義為Dij=(?iuj+?jui)/2,σ為表面張力系數,κ為界面曲率,狄拉克分布函數δs表示表面張力僅作用于兩相界面處,n為兩相界面的法向量。
Gerris采用經典的VOF方法追蹤相界面,對于兩相流動,引入計算網格中第一種流體的體積分數c(x,t),并定義混合流體的密度和黏度為:
式中,ρ1,ρ2,μ1,μ2分別是第一種流體和第二種流體的密度以及黏度;函數?c由體積分數c平滑處理后得出,以便提高計算的穩定性。
密度對流方程可由等效的體積分數對流方程替換
2.2數值方法
本文數值模擬采用基于Linux的開源軟件Gerris進行,該軟件使用基于四叉樹(二維)/八叉樹(三維)的自適應空間離散方法,使用分步投影方法求解變密度不可壓縮的Navier-Stocks方程,使用VOF方法跟蹤相界面。高度函數和界面附近的自適應網格細化可以精確表示表面張力作用,對流項使用Godunov格式求解,并行計算采用MPI庫進行。
如圖1所示,水滴撞擊深水液池的數值模擬在軸對稱坐標系中進行,Y軸為計算區域的對稱軸,D為初始水滴直徑,R=D/2,正方形計算區域的長度H=20D,水滴距離液面的距離H1=0.1D,液池深度H2=12D以消除底部對液滴撞擊運動的影響,水滴在重力g和撞擊速度Vi的作用下撞擊液池。采用雷諾數、韋伯數和弗勞德數來描述液滴撞擊的運動特征,三者分別表征液體慣性力與黏滯力間的關系、液體慣性力與表面張力間的關系以及液體慣性力與重力間的關系。三個無量綱參數的表達式如(7)式所示,主要物理參數如表1所列。
表1主要物理參數
圖1計算區域簡圖
2.3自適應網格技術
采用數值方法對高速液滴的撞擊運動進行準確的模擬極具挑戰性,因為運動產生的微小界面變形、復雜的幾何形狀以及特征尺度的巨大差異需要足夠的網格分辨率來捕捉,從而大幅地增加了計算量與計算時間。目前針對該問題的一個有效解決方法是采用自適應網格(adaptive mesh refinement,AMR)技術。根據流動特征對網格進行局部細化或粗化使得AMR技術可以將計算效率集中在最需要的區域,從而以最小的計算成本獲取精確的結果。
本文采用Gerris進行數值模擬,Gerris使用有限體積法(FVM)來求解控制方程,并根據四叉樹網格自適應規則和條件將計算域離散為不同等級的計算網格。水滴撞擊深水液池數值模擬的關鍵位置在于液~液界面的交接處以及相界面附近,本文依此設計如下網格自適應規則,每一步更新一次計算網格,其中最大網格加密層數為11層,即在一個計算區域(box,Lbox=10)內的最大網格數量為211.圖2為計算區域初始狀態自適應網格的空間離散示意。
1)計算初始加密水滴與液池接觸區域,即水滴與液池相界面處正負0.15內的網格至11層。
2)自動加密相界面附近體積分數在0—1之間、梯度變化劇烈區域的網格,最大加密到11層,最小加密到6層,以最小化界面重建產生的誤差。
3)自動加密渦量變化區域的網格,根據其變化劇烈程度最大加密到11層,最小加密到4層。
4)根據U,V速度分量的變化自動加密網格,最大加密到11層。
5)限制2)—4)條規則最小加密層數的加密區間為:Y向液滴中心上方2R至水面下方4R;x向對稱軸左右4R內的矩形內,以提高計算效率。
圖2計算初始狀態的空間離散
2.4模型驗證與率定
為了保證數值模擬結果的準確性,本文選擇Morton的實驗數據對數值模型進行驗證,實驗使用直徑為2.9 mm的液滴撞擊液池,弗勞德數及韋伯數分別為Fr=220,We=248.如圖3所示,照片為高速攝影機攝得的實驗過程,白色線條表示相同時間節點下的數值模擬結果,t為物理時間乘以Vi/D后的無量綱時間。液滴下落后沖擊液池并產生了一個空腔,腔體在t=7.9時達到最大化。空腔塌陷后毛細波向中心處傳遞,并坍縮形成中心射流,使其高度不斷增大,在射流頂端斷裂生成二次液滴。由于實驗環境的復雜性,模擬條件與實驗條件無法完全一致,且本文采用軸對稱模型假定進行模擬,無法捕捉非對稱運動,因此模擬值與實驗值存在一定差異。但數值模擬在界面變形、空腔的形成與成長、毛細波在空腔底部的傳播等方面與實驗值取得了良好的一致性,且在空腔形成過程中給出了較實驗更加詳盡的毛細波運動細節,中心射流最大高度以及空腔最大深度的誤差分別為1.7%,2.6%,表明數值模擬能夠較好地描述液滴撞擊液池的運動。
圖3數值模擬與實驗結果對比





